

美国官宣新增8个STEM专业!
STEM专业是什么?
DHS(Department of Homeland Security,美国国土安全部)将四个领域指定为核心STEM领域,并将这四个领域列在两位数CIP代码级别上。因此,任何新增的领域都将自动包含在STEM列表中。
这四个领域是:工程(CIP代码14)、生物和生物医学科学(CIP代码26)、数学和统计学(CIP代码27)以及物理科学(CIP代码40)。

在美国,STEM人才更是被高度重视,每年申请季,相关专业的申请竞争非常激烈,毕竟能被称为“就业之王”,正是因为STEM专业的毕业生具备了极强的市场竞争力。据近几年的留学数据统计显示,超过40%的中国留学生选择了STEM专业。
STEM专业之所以火爆,是因为它能够为学生带来更多就业机会、更丰厚薪酬待遇及三年OPT实习。
根据《联邦公报》最近消息,美国国土安全部和移民局联合宣布,将对STEM专业范围进行修订,新增加8个专业领域。

此前,美国国务院和国土安全部就宣布了一系列新计划,旨在为STEM领域的外国留学生和专业人士提供更便利的签证政策,以留住这些优秀人才。
2022年DHS更是扩大STEM专业领域范围,一次性增加了22个新专业。


今年,又有8个新的研究领域被纳入STEM,在这些领域学习的学生可以获得36个月的OPT期限,这对于留学生而言是重大利好。
2023年8个新增STEM专业如下:
景观设计
该专业培养独立从事景观建筑专业实践和该领域各方面研究的人才。教学内容包括:
·地质学和水文学
·土壤、地被植物和园艺元素
·项目和场地规划
·景观设计、历史和理论
·环境设计
·适用法律和法规
·专业责任和标准
机构研究
该课程旨在培养学生成为中学后教育机构的研究人员。教学内容包括:
·数据分析
·数据驱动决策
·数据挖掘
·高等教育管理与组织
·研究方法
·统计
机电一体化、机器人与自动化工程技术
本专业旨在培养应用基本工程原理和技术技能,支持工程师设计、开发和运行评估自主、计算机控制的机电系统的能力。教学内容包括:
·计算机与软件工程
·控制工程
·电子与电气工程
·机械工程
·机器人
复合材料技术/技术员
通过本专业学习,学生可掌握基本工程原理和技术技能,为工程师和其他专业人员在飞机技术、汽车技术、船舶、医疗假肢和风力涡轮机中开发、制造和使用复合材料提供支持。教学内容包括:
·计算机辅助设计与制图
·复合材料与工艺
·复合材料维护
·复合材料制造
·复合材料维修
·材料科学
·模具制造与生产
语言和计算机科学
该课程重点研究计算机语言与人类语言之间的关系,以及应用于自然语言的计算技术。应用于自然语言的计算技术。教学内容包括:
·计算机编程
·人类语言
·语言分析
·逻辑
·自然语言处理
·语义学
·机器学习
·心理语言学
·软件工程
·语法
发展心理学和青少年心理学
本专业侧重于对个人从青春期到成年期的独特心理成长和发展阶段进行科学研究。教学内容包括:
·认知和知觉发展
·情感发展
·人格发展
·生物成熟对行为的影响
·认知成长理论和相关研究方法
·不同年龄阶段的测试和评估方法
·儿童和青少年行为治疗研究
·老龄心理学
地理空间情报
本专业通过将人类行为与文化、政治、经济、社会和自然景观联系起来,培养学生从地理角度分析安全和情报问题的能力。教学内容包括:
·航空摄影分析
·制图学
·地理信息系统 (GIS)
·自然地理学
·遥感
·空间编程
·地理研究中的定量方法
人口学与人口研究
该专业侧重于系统研究人口模型和人口现象,以及社会结构和行为的相关问题。教学内容包括:
·人口增长
·空间分布
·死亡率和生育率因素
·迁移
·动态人口建模
·人口估计和预测
·人口数据的数学和统计分析
·人口政策研究
·在经济学和政府规划中的应用
综上,STEM专业新增+OPT延期,让更多的留学生有充分时间在美国实习、就业。OPT不仅是同学们在美国积累工作经验的途径,也是取得美国工作签证H1B的重要途径。
加拿大“抢人”,美国议员提案H-1B数量增加一倍
近期,有美国议员提议,要将H-1B的数量翻一倍!
据《经济时报》报道,印度裔民主党议员Raja Krishnamoorthi提交法案,希望将每年发放的H-1B工签数量增加一倍,从 65,000 份增加到 130,000份。
这个提议来自一个由美国 2,100 多家中小型 IT 公司组成的协会(主要由印度裔美国人拥有和经营)。
7月18日,这一协会的 240 多名成员齐聚美国国会大厦,敦促立法者将 H-1B 配额从目前的 65,000 名增加一倍,以解决该国高技能劳动力严重短缺的问题。
除此之外,他们还敦促立法者增加对美国STEM教育的投资,以培养国内所需的高技能人才。
此前曾报道过,从2023年7月16日起,在美国的H-1B签证持有人及其随行直系亲属将有资格申请来加拿大。
被批准的申请人将获得最长三年的开放工作许可,这是一个open work permit,无需雇主担保。
加拿大移民部长肖恩·弗雷泽 (Sean Fraser) 表示,该计划的 10,000 名配额在两天内就已满。
每年,美国有多达 85,000 人被选为 H-1B 签证持有者。
而加拿大这一招无异于“抢人”。
奥巴马政府期间的美国驻加拿大大使Bruce Heyman表示,加拿大在该计划中的收益将是美国的损失。
Heyman说:“加拿大看到了将才华横溢的人才引入的机会,他们发现机会并吸引他们。吸引最优秀和最聪明的人才来到美国,一直是我们成功的关键,削弱这一点会带来很大的风险。”
近年,加拿大非常重视施行科技人才战略,当局正为科技工作者拓展快速签证及移民政策。
数据科学家、软件开发人员和程序员、数学家、统计学家和精算师以及电气和电子工程师(STEM)等相关从业者候选人将得到优待。
2023年1-6月,中国赴美留学签证暴涨44%!
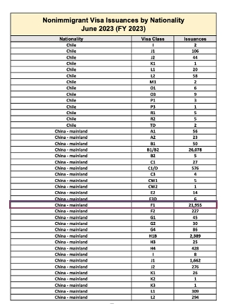
根据美国国务院发布的海外各使领馆签赴美签证数量报告显示,2023年上半年,共有44,762名中国大陆籍学生获得赴美留学F1学生签证,其中五月和六月更是分别发出了13,405和21,955张F-1签证。
从这一数据看来,虽然和疫情前19年的64,261张签证相比仍然下降31%,没有完全恢复到疫情前的水平。但是和22年上半年的31,055张签证相比,已经暴增44.13%,说明虽然疫情的影响还有余波,但是家长和学生们总体的留学信心正在逐步恢复。

最近,诸多美国大学官宣了2023-2024申请季的相关要求。
尤其是伴随留学行业的回暖,申请人数增多的同时,很多学校申请也有所变化,比如新增专业、学院,扩招、缩招政策,奖学金政策,标化要求,截止日期等。
具体情况一起来看看吧。
首先,2024Fall的一个重要改革:从2023年8月1日开始,允许申请人不再填写种族信息!以最大程度避免了种族带来的区别对待。

普林斯顿大学

扩招政策:
针对直申新生,普林斯顿大学表示计划在四年内(自2022开始)扩招500名本科生;
针对转学生,计划将校内40名转学生的规模扩大至100人,即从2022年秋季开始的未来几年,每年录取的转学生人数,都会增加10-15人。
新增学院:
2023年普林斯顿大学计划新建一所本科生住宿学院Hobson College来替代现有的First College。但作为翻新学院对本科生招生规模并无影响。
经济援助:
2023 -2024学年开始,无需支付学费家庭的年收入门槛变为低于100,000美元。
SCEA阶段的经济援助申请截止日期为2023年11月9日,RD阶段的经济援助申请截止日期为每年的2月1日,转学的经济援助申请截止日期为每年的3月1日。
麻省理工学院

新增专业:
“气候系统科学与工程理学学士学位专业。”
由MIT“土木与环境工程系”和“地球、大气与星球科学系”联合授课,旨在培养学生成为该领域的领导者,以解决全球范围的环境问题。
经济援助:
2023-2024学年开始,无需支付学费家庭的年收入门槛从低于90,000美元提升至低于140,000美元,并可以获得额外的经济援助。
年收入超过250,000美元的家庭,如家里有两个及以上孩子同时上大学,可申请额外的经济援助。
哈佛大学

经济援助:
2023-2024学年开始,年收入低于85,000美元的家庭无需支付教育费用。
REA阶段的经济援助申请截止日期为每年的11月1日,RD阶段的经济援助申请截止日期为每年的2月1日。
斯坦福大学

经济援助:
2023-2024学年开始,年收入低于100,000美元的家庭无需支付学费和食宿费,年收入低于150,000美元的家庭无需支付学费。
耶鲁大学

新增专业:
“计算机与语言学联合专业。”
该专业提供文学学士学位和理学学士学位两种,前者要求完成11个学分的先修课,后者则要求14个学分。但无论哪种学位,学生都必须完成2门数学核心课程、1门统计学核心课程、2门语言学核心课程、2门计算核心课程和相应的一些高级课程。
标化政策:
新一轮申请季,耶鲁大学针对标化成绩继续采用Test-Optional(可选)政策。同时耶鲁接受SAT/ACT拼分,并允许学生自我报告成绩。
但是注意!新生在入学时需要提供SAT/ACT官方成绩报告,如果与自我报告成绩差异较大,可能会撤回录取Offer。
芝加哥大学

申请日期:
2023-2024申请季,芝加哥大学EA和ED1申请截止日期未变,11月1日;ED2和RD截止日期比上一申请季提前2天,2024年1月2日结束。
宾夕法尼亚大学

新增奖学金:
5月3日,宾夕法尼亚大学宣布收到沃顿商学院校友Daniel Sundheim,及其夫人Brett Sundheim的1,000万美元捐赠。这笔捐赠将通过2种用途,援助有经济困难的国际生。
西北大学

标化政策:
2023-2024申请季,西北大学面向直申大一新生和转学生采用Test-Optional政策。
申请日期:
2023-2024申请季,西北大学ED截止日期未变,11月1日;RD截止日期提前1天,2024年1月2日。
达特茅斯学院

申请日期:
2023-2024申请季,达特茅斯学院ED截止日期未变,11月1日;RD截止日期提前1天,2024年1月2日。
布朗大学

面试要求:
已经永久取消校友面试,鼓励申请人提交2分钟的自我介绍视频。
申请日期:
2023-2024申请季,布朗大学RD截止日期提前2天,2024年1月3日。
莱斯大学

扩招政策:
莱斯大学于2021年宣布,预计在4年内,即2025年秋季之前,扩招20%本科生,大概增加800个本科生录取名额。
哥伦比亚大学

面试要求:
哥大的工程与应用科学学院和哥伦比亚学院均宣布取消校友面试计划,并于2023-2024申请季生效。
扩招政策:
哥伦比亚学院和工程学院预计扩招5%-20%的本科生。具体来看,哥伦比亚学院将增加234-935名学生,工程学院将增加86-345名学生。但实施扩招的时间还未公布。
标化政策:
3月1日,哥大本科招生办宣布,工程与应用科学学院和哥伦比亚学院面向所有申请人,针对SAT/ACT考试成绩采用永久Test-Optional政策。
加州大学伯克利分校

新增学院:
5月18日,加州大学董事会投票通过UCB新建计算、数据科学与社会学院(CDSS),预计从2025开始招生。
卡耐基梅隆大学

申请日期:
2023-2024申请季,卡耐基梅隆大学ED2和RD截止日期提前1天,于2024年1月2日结束。
CMU的表演、导演、戏剧、音乐剧或音乐学院不接受ED1申请,戏剧、音乐、设计或艺术学院不接受ED2申请,戏剧和音乐学院的RD截止日期为2023年12月1日。
此外,CMU面向提前一年完成高中课程的高中生提供EA录取,申请截止日期为2024年1月2日。
新的申请季,美国大学的新变化还是非常多的,可以感觉到,各大高校对准留学生们有了更高的要求!
但是各位同学们不要害怕,想要迈入理想学校的大门,除了一定要做到充分的准备和长远的规划外,剩下的就是相信自己!
北京站
客服专线: 400-010-8000
服务专线: 400-010-8000
北京分公司:北京市朝阳区 建国门外大街永安东里甲3号院B座
友情链接 · 美国留学 | 英国留学 | 澳大利亚留学 | 加拿大留学 | 新西兰留学 | 日本留学 | 欧洲留学 | USA:A Study Destination
©2026金吉列出国留学咨询服务有限公司 版权所有 | 京ICP备05010035号 | 京公网安备11010502038474号 | 出版物经营许可:新出发京零字第朝190057号
信息提交成功!稍后将有专人与您联系。